TAGGED: fluent-sloshing, vof
-
-
January 1, 2023 at 4:16 am
Allen P Varghese
SubscriberVertical excitation of a spherical tank
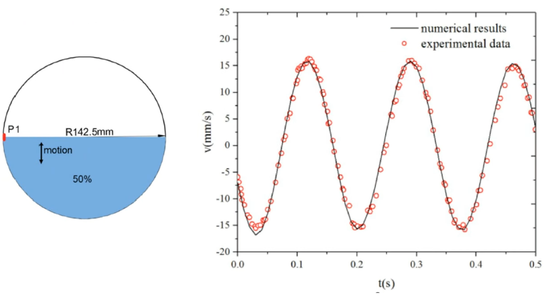
I am trying to replicate the y_velocity response over time graph published in the paper by Chiba et. al. (2016). The model is a spherical tank having a radius of 142.5 mm. The tank is half filled with water and is applied with an external vertical excitation having displacement,
z = (Gg/(2Ï€f)2)*sin(2Ï€f)t
where G = 0.06, g = 9.81 m/s^2, and f = 5.8 Hz
The y_velocity response is extracted at a point P1 as indicated in the figure below.
The spherical tank is meshed as a Fluent watertight geometry using polyhexacore cells having,
minimum cell length = 0.0001
maximum cell length = 0.0032
Smooth transition boundary layers
Number of layers = 30
Total number of cells = 1230400
Initially setup the tank as a VOF steady state simulation with only gravity acting vertically downwards along -ve y-axis.
Phase1: air, Phase2: water
50% region patched as water
After the steady state simulation converged, I then used the case and data file to setup a transient VOF run with the following vertical acceleration superimposed with gravity over time (acceleration was obtained by derivating displacement z twice with respect to time).
((-0.06*-9.81[m s^-2])*(sin(5.8[Hz]*2*PI*t)))-9.81[m s^-2]
Adaptive time stepping
Total time = 0.5s
Initial time step size = 1e-05
Number of iterations/time step = 100
On running the transient simulation and extracting y_velocity over time at point P1, we get the following curve as seen in the figure below. Even though, the vertical excitation acceleration is applied continuously over time, the velocity response seems to be getting damped for some reason, leading to the amplitude dropping in magnitude. Not sure why this is happening.
Â
-
January 3, 2023 at 3:28 pm
Rob
Forum ModeratorCheck the domain is still moving as expected. If the displacement is vertical won't the free surface settle though? The motion is at 90degrees to the free surface so there is no change in force on the surface?Â
-
January 4, 2023 at 1:14 am
Allen P Varghese
SubscriberHi Rob,
The external excitation acceleration that I am applying is continuous over time and is not changing magnitude. It is being applied as a body force vertically over the whole domain, however the volume fraction contours show the free surface setting down as the time goes on.
I did run the simulation for some more additional time to see what happens beyond 0.5 seconds and we can see that the magnitude is dropping which is not according to what the paper has published. Something seems to be damping the body force and settling the free surface which shouldnt be the case since the excitation I am applying is steady continuous and not an impulse or a ramped force.
Any ideas would be greatly appreciated!
-
January 4, 2023 at 9:36 am
Rob
Forum ModeratorIt's a sine curve so acceleration will be non-uniform and out of phase with the velocity. I'm not familiar with the paper, was it experimental or theoretical? Note, for copyright please don't post the paper, a public link is fine. If you bounce a bucket of water up and down after some initial slopping around the free surface will stabilise: that's what viscosity does!Â
-
January 5, 2023 at 9:02 am
Allen P Varghese
SubscriberHi Rob, you are correct, if I bounce a bucket of water up and down for a short period of time, then the free surface will stabilize after some initial slopping.
However, if I continuously keep bouncing the bucket up and down, does the free surface stop sloshing?Â
This was actually an experiment explained in this paper by Chiba et. al. (2016), https://doi.org/10.1016/j.jfluidstructs.2015.11.011
Another paper by Xue et. al. (2019), used the plot from this experiment to validate their numerical model, https://doi.org/10.1016/j.oceaneng.2019.106582
I was attempting to do the same by validating my sloshing numerical model but facing problems.Â
-
January 5, 2023 at 10:02 am
Rob
Forum ModeratorI've had a chat with a colleague, and I now have to be careful in how I explain anything!
This links to the comment in the paper regarding harmonics. If the sloshing frequency gets into/out of phase with the vertical displacement you could get enhanced/damped free surface movement. So, vessel dimensions, fill level, motion profile, viscosity, density etc need to be checked. The Fluent solver should get the answer right, but getting the exact input parameters might be difficult. This also assumes the mesh and time resolution are fine enough to not aid damping.Â
-
January 6, 2023 at 1:07 pm
Allen P Varghese
SubscriberHi Rob, I completely agree with this statement, "if the sloshing frequency is into/out of phase with vertical displacement, it could lead to an increase or damping of free surface movement".Â
Vessel dimensions are a simple sphere with 0.1425m in radius.
Water fill level is 50%, which I patched as a region within fluent after initialization.
Motion profile is defined using an expression and was verified to produce the correct sinusoidal curve within fluent using the in build expression checker.
Viscosity is  0.001003 kg/ms
Density is 998.2 kg/m^3
These values are the default ones for water in Fluent material database. The paper does not mention the values for viscosity or density, apart from mentioning that the material is water.
Regarding the mesh, the point I am extracting the data from is very close to the wall and for that reason I am am using inflation with smooth transition and 30 boundary layers.
For time-resolution, I am using adaptive time-stepping with an initial time-step 1e-05 s
I have assigned no-slip condition at the walls and since the monitor point is very close to the wall, it could maybe be a reason why the damping is happening. Since the sphere is a glass container which is a smooth boundary, I will try applying a free-slip condition at the wall to see if it helps.
Any other suggestions? I was hoping validating a simple spherical container like this would be very simple :(
-
January 6, 2023 at 2:02 pm
Rob
Forum ModeratorInflation is less critical with VOF, what you need is a nearer to aspect ratio 1 mesh. If you have an excessively fine near wall resolution and coarser core mesh then the solver may damp/lose mass.Â
With a high aspect ratio cell the assumption is that the flow doesn't change along the cell. With multiphase free surface (and flow separation in high speed flows) that isn't true and you can't then have such a high aspect ratio. Coarse core mesh will similarly damp things. Remesh with a fairly fine and reasonably uniform cell size and then look into dynamic mesh adaption: there's a VOF option in 2021-ish and onwards.Â
-
- The topic ‘Vertical excitation of a spherical tank half filled with water’ is closed to new replies.
-
5834
-
1906
-
1420
-
1305
-
1021
© 2026 Copyright ANSYS, Inc. All rights reserved.








