-
-
February 15, 2019 at 11:52 am
Kazem
SubscriberHi everybody
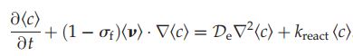
I am trying to solve a transport equation in ansys fluent16 (The image of the equation has been attached) .I have 5 zones, 1 is fluid and the rest are porous media. The equation has to be solved in all zones. My problem is that the convective term is not the same as that in fluent uds transport equation. I have been told to use uds_flux function to change flux function. In order to do that i need boundary faces ids which are accessible from boundary condition task page. My question is that is it possible to access interior faces ids? because i need to set convective fluxes on those faces too. An early reply would be highly appreciated.Â
Â
-
February 15, 2019 at 12:58 pm
DrAmine
Ansys EmployeePlease insert your attachment as screenshot. ANSYS Stuff cannot download attachments. Anyway fluxes need to provided via DEFINE_UDS_FLUX. That is all what we can provide on this open community.Â
-
February 15, 2019 at 1:37 pm
Kazem
Subscriber -
February 15, 2019 at 2:18 pm
DrAmine
Ansys EmployeeDoes the convective differ depending on the kind of boundary (internal/external)? If Yes you can check if THREAD_Type is of type interior.
-
February 15, 2019 at 4:23 pm
-
February 15, 2019 at 4:33 pm
Kazem
SubscriberThis is the geometry in which i have to solve the uds transport equation. As i mentioned earlier there are 5 zones as shown in the picture. In each zone sigmaf (appeared in the convective term coefficient) is different therefore convective terms and consequently convective flux are different in each zone. I need to define convective flux in each zone seperately. Is it possible to do that using Thread_type???  Â
-
February 15, 2019 at 5:16 pm
-
February 15, 2019 at 7:22 pm
DrAmine
Ansys EmployeeYou need rather to check to which zone each face belongs and then apply the right sigma. For internal boundaries where both vslues sigma are valid use weighting. -
February 15, 2019 at 7:49 pm
Kazem
SubscriberThank you very much for your reply. It would be highly appreciated if you could tell me the appropriate macro for that(check to which zone each face belong?). I should say that zone IDs are available (They are 2-3-4-5-6)Â
-
February 15, 2019 at 8:32 pm
DrAmine
Ansys EmployeeCheck connectivity macros in the help. -
February 15, 2019 at 8:51 pm
Kazem
SubscriberThanks a lot. So the above udf to define boundary faces convective fluxes is not correct?
-
February 16, 2019 at 9:24 am
DrAmine
Ansys EmployeeYes. Wrong.
-
- The topic ‘User defined scalar flux function’ is closed to new replies.
-
5884
-
1906
-
1420
-
1306
-
1021
© 2026 Copyright ANSYS, Inc. All rights reserved.



