-
-
April 20, 2021 at 8:27 am
Aitor
SubscriberI am looking for a reference in order to define the boundary conditions for RANS turbulence models, and I have seen two formulas for the turbulent intensity and length scale in the case of a fully-developed pipe flow (expressions 7-71 and 7-72):n7.4.2. Using Flow Boundary Conditions (ansys.com)nWhere do they come from? The most similar result that I know is that in turbulent pipe flow, Karman integral equation leads to a friction coefficient proportional to Re^(-1/7).nThank younn -
April 20, 2021 at 9:51 am
DrAmine
Ansys EmployeeAs stated in the documentation TI formulation it is derived from a correlation. If you have your own correlation then just use it. I can recommend looking into Scaling of turbulence intensity for low-speed flow in smooth pipes, Flow Meas. Instrum., vol. 52, pp. 101–114. One can then correlate the intensity with Blasius friction factor. Do you need a precise resource for that?nThe one of the length scale is straightforward knowing the length scale from two-equation models for example.n -
April 20, 2021 at 10:02 am
Aitor
SubscriberArrayThank you for your answer. I am performing multiphase simulations, and I have noticed that the results depend strongly on the inlet turbulence levels. That's why I would like to have some references. nIs there any article related to the turbulent length scale? In order to publish my results, I need a reference to justify my assumptions.nThank you -
April 20, 2021 at 10:04 am
DrAmine
Ansys EmployeeThe article I referenced is a good one. If you referring to the forumla used in the documentation I need to double check.n -
April 20, 2021 at 10:11 am
Aitor
SubscriberThank you. To have the reference of that formula would be positive for me.n -
April 20, 2021 at 11:25 am
DrAmine
Ansys EmployeeI will try to find the reference. All word are using the same without having a reference. I am pretty sure something to do with Pope but I will dig deep.n -
April 20, 2021 at 1:15 pm
Aitor
SubscriberThank you. I checked Pope's book, even though I found nothing. n -
April 22, 2021 at 6:21 am
-
April 22, 2021 at 10:53 am
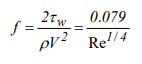
Aitor
SubscriberI have seen that formula in Schlichting book but with 0.045 instead of 0.079. nIn any case, how can one derive the expressions of turbulent intensitty and length scale? I understand that your message is in order to derive a correlation, but I do not see any way to obtain I=0.16*Re^(-1/
and l 0.007*L/C_mu^(/3/4)nThank you for your attentionn
-
April 22, 2021 at 11:20 am
DrAmine
Ansys EmployeeYou derive the expression from that and you assume that fluctuation velocity is 80% of the u_tau. From that formula you can get u_tau/u_avg from that you can derive u'/u_avg.nFor the length scale, I wrote already The one of the length scale is straightforward knowing the length scale from two-equation models for example. One needs just to relate the length scale to hydraulic diameter. Here one needs again to check a couple of books.n -
April 22, 2021 at 12:11 pm
Aitor
SubscriberArrayWhere does the 80% come from? nI know the expression of turbulent length scale for the RANS models, but it implies two turbulence quantities and I only know one from the turbulent intensity.n -
April 22, 2021 at 3:04 pm
DrAmine
Ansys EmployeeNot universal but you can estimated from DNS results of fully developed pipe flows.n -
April 23, 2021 at 8:12 am
Aitor
SubscriberThank you for your answer.n
-
Viewing 12 reply threads
- The topic ‘Turbulent intensity and length scale for a fully-developed pipe flow’ is closed to new replies.
Innovation Space
Trending discussions
Top Contributors
-
5879
-
1906
-
1420
-
1306
-
1021
Top Rated Tags
© 2026 Copyright ANSYS, Inc. All rights reserved.
Ansys does not support the usage of unauthorized Ansys software. Please visit www.ansys.com to obtain an official distribution.
