Ansys Assistant will be unavailable on the Learning Forum starting January 30. An upgraded version is coming soon. We apologize for any inconvenience and appreciate your patience. Stay tuned for updates.
General Mechanical

General Mechanical

Topics related to Mechanical Enterprise, Motion, Additive Print and more.

Self Contact – structural penetration

    • N0834237
      Subscriber

      Anyone aware on how to fix structural penetration, I've applied frictional self contact between some faces of the honeycomb and I still get the same amount of penetration. In addition, when I turn on large deflection the solve is unable to converge but when it's turned off I get the simulation but with the penetration problem.

    • peteroznewman
      Subscriber

      You must solve with Large Deflection turned On.


      Please attach an Archive .wbpz file and say what version of ANSYS you are using.

    • N0834237
      Subscriber

       I'm using the Workbench 2020 R1, the file attached contains with large deflection on but error.

    • peteroznewman
      Subscriber

      Here is a mesh with four elements across the wall thickness.
      This mesh is running in Explicit Dynamics which has good self contact detection.
      I increased the density of the materials by a factor of 100 to get a solution in 4 hours instead of 40 hours.
      I will report back in 5 hours when it has pressed down by 5 mm.


    • N0834237
      Subscriber

      Ok thank you very much, few things:


      - I've never really delved into depth in meshing, could you explain where you see the "4 elements across wall thickness" part, is that the bit where you see 4 elements across the width of the beam? 


      -5 hours for 5mm seems alot, is it possible to achieve around 20mm with less accurate results by reducing any feature, when I was running in static structural it was around 15mins solve time for that half model.

    • peteroznewman
      Subscriber

      Forget about your 15 minutes because that was with Large Deformation turned off. As soon as you turn on Large Deformation, there is a large increase in computation time with the Implicit solver.  Explicit Dynamics solutions can be an order of magnitude larger again, but it has robust self contact capabilities.


      The 4 elements across the thickness comes from a Face Sizing of 0.2 mm because the wall thickness is 0.8 mm. The honeycomb solid has a Mesh Method of Sweep with 10 elements along the sweep direction.

    • peteroznewman
      Subscriber

      After 4.4 hours, here is the first 5 mm of deformation:



      I will increase the displacement to 15 mm and come back in 9 more hours to see it squashed some more.

    • N0834237
      Subscriber
      How is the force graph looking? And what’s the number of elements and nodes for the mesh.
    • peteroznewman
      Subscriber

      Here is the deformation after 9.6 hours of computation on four cores:



      For the next run, I could change the Body Interaction from Frictionless to Frictional. That will probably prevent the top from slipping sideways. 


      This model has 72,000 nodes and 54,000 elements, more than 2x than are allowed on the Student license.To get a model that fits in the student license, I suggest cutting the honeycomb in half again, and adding a plane of symmetry. Then instead of 10 elements swept through the depth, use just 4 elements. The second symmetry plane will also prevent the sample from going sideways and slightly reduce the solution time.

    • N0834237
      Subscriber

      -Can this not be done on static structural to reduce the time, the results don't have to be accurate just need to achieve a similar behaviour so don't need to use the symmetry I guess, originally on the graph it was a very different behaviour than experiment so I thought issue was because the faces penetrating themselves changed the behaviour of the force deformation. I have few more samples with different patterns to simulate but they all have this penetrating issue, if it's possible to somehow get a solve time 1-3 hours for the lattice without it penetrating. Above 5 hours for 1 lattice would be too impractical for me in the situation I am in.


       


      - Yes frictional would be good, are you able to show me what the force graph looks like or what forces the structure reaches. The forces can be different as long as the behaviour of the curve is similar to experiment then I can scale the ANSYS results as this is just a small home school project, if possible please reduce mesh quality to reduce the solver time.


       

    • peteroznewman
      Subscriber

      Here is the Force reaction for the half model that went sideways. Multiply the force by 2 for the full model.


    • peteroznewman
      Subscriber

      Here is the result with Friction added so the sample does not go sideways. I speed up the computation time so it solves in < 2 hours. This simulation is a cartoon because the density of the material is 100 times heavier than reality. The ram is moving down 25 mm in 0.025 seconds or a velocity of 1 m/s.


      Once the video starts playing, Right Click on the video to pop up the menu and select Loop.


      https://youtu.be/P5jaK7Zc81I


       


      Here is the Force Displacement Curve for the Half model. Double the force for the Full model.


    • N0834237
      Subscriber

      Yep that looks much better the force convergence, are you able to attach the file or should I recreate this in explicit dynamics with the standard setup, also other than the frictional contact between the cylinder and lattice did you apply any self contacts? 


       


       update: Started a fresh explicit dynamics with end time 1s to see but it's been on 10% for 2 hours, how did you manage to reduce full time to <2 hours


      I found your post for this:


      /forum/forums/topic/scale-up-geometry-in-cutting-process-dynamics-analysis-leads-to-smaller-time-to-solve/


       


      Did you increase the density of both materials in the engineering data by a factor of 100 or just the PA12 material?

    • peteroznewman
      Subscriber

       I will upload my version that has the necessary tweaks to the material model later today. I deleted a few points on the stress-strain curve to get down to 10 points.


      I increased density on both materials by a factor of 100 which reduces the solve time by a factor of 10.


      I am solving on 4 cores which is faster than 2 cores, but I wish I had 8 cores.

    • N0834237
      Subscriber

      ok that's fine thanks, you mentioned about an equation in explicit dynamics for calculating solve time where the speed of sound in the material is a factor and density is a function of this factor. Would you be able to provide a link for the theory behind this related to the ANSYS solver.


      I started running a simulation on mine for fun and to experiment with the solve times, increased density by factor 100 and so the simulation went from 50 hours to 5 hours approx, after 5 hours only to discover the displacement was positive and went the wrong way so it didn't compress (facepalm).

    • peteroznewman
      Subscriber

      I reran the same model, I but slowed down the ram by a factor of 10 and requested more frequent output. Now the force displacement plot is smoother but it took 18 hours to compute.



      https://youtu.be/_GEmwXFABV8


       


      ANSYS 2020 R1 archive is attached.


       

    • peteroznewman
      Subscriber

      In the ANSYS Help, in the Mechanical Application section is the Explicit Dynamics Analysis Guide. 


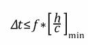
      In section 6.2.3.2 is the Explicit Time Integration chapter. Equation 6-8 is the requirement for the maximum time step.



      Where


              Δt is the time increment


              f is the stability timestep factor (= 0.9 by default)


              h is the characteristic dimension of an element


              c is the local material soundspeed in an element


      This equation means that if you double the size of the smallest element in the mesh, you will be able to double the time step and cut the solution time in half.


      Equation 6-9 is  shown below.


       


      Where


      Cii is the material stiffness (i=1,2,3)


      ρ is the material density


      m is the material mass


      V is the element volume


      By artificially increasing the mass of an element, one can increase the maximum allowable stability timestep, and reduce the number of time increments required to complete a solution.    You increase the mass of an element by increasing its density.  Since the density is under a square root sign, you have to increase the density by a factor of 100 to get a factor of 10 reduction in solution time.

    • N0834237
      Subscriber

      Looks great thank you very much, just few questions how come both remote and displacement was used and the contacts were suppressed, is that due to the explicit dynamics body interaction and has better contact detection regardless.


      Also I may need to rerun it as animation does not work, and is it not applicable to use static structural at all such as is there no way to fix the penetration?


      update: What mesh modifications could I make as it's above the limit for student license

    • peteroznewman
      Subscriber

      Remote displacement was used to push the ram.


      Displacement was used to create the symmetry boundary condition to represent the cut face where the other half of the model was cut off.


      The contacts are not needed in Explicit Dynamics, the body interaction does all the work.


      Yes, you will need to rerun to get an animation.


      To get it to run in the Student license, cut the thickness of the body in half through the depth of the sample and add another displacement BC on that face to support the remaining quarter.  You could also try a 2D model of this instead of 3D. The face must be in the XY plane to do that.


      If your questions have been answered, please mark a post with Is Solution to mark this discussion as Solved.

    • N0834237
      Subscriber

      Thanks it worked.

    • psct
      Subscriber
      Hello, I read all the answers. I want to know if this graph is calculated by dynamics model. In my opinion, only statics model hae force recation!! l hope you can help me thanks!nnthis is my question /forum/discussion/comment/80886#Comment_80886 n
    • peteroznewman
      Subscriber
      nThe video in my reply above is from an Explicit Dynamics analysis. The reaction force is computed by the solution. Force reaction is not limited to statics.nPlease check your post that you linked to. The images didn't make it into the reply. You will have to make a new reply and carefully insert the images.n
    • psct
      Subscriber
      @peteroznewman nThis is a compression model of a lattice structure I made used by explicit dynamics. I want to get the relationship between the reaction force and the displacement, but force reaction cannot be used. The reaction force is computed by the solution. What is this sentence mean? thanls!!n
Viewing 22 reply threads
  • The topic ‘Self Contact – structural penetration’ is closed to new replies.
[bingo_chatbox]