Ansys Assistant will be unavailable on the Learning Forum starting January 30. An upgraded version is coming soon. We apologize for any inconvenience and appreciate your patience. Stay tuned for updates.
Fluids

Fluids

Topics related to Fluent, CFX, Turbogrid and more.

Problem during calculation

    • Walaa
      Subscriber

      When I am calculating, the calculation stopped and this message occurred "floating point exception', what does that mean ? 

    • Karthik Remella
      Administrator

      Hello Walaa,


      Could you please check the quality of your mesh? Max skewness and min orthogonal quality?


      Thank you.


      Best Regards,


      Karthik

    • DrAmine
      Ansys Employee

      That means divergence in the linear solver. This might happen even within the linearization step. We need to know some more information about your model and as Kremella said your mesh metrics. 

    • Walaa
      Subscriber

      I will check the mesh again and let you know what happened. Thanks

    • DrAmine
      Ansys Employee

      You are welcome Walaa!

    • Walaa
      Subscriber

      I am using ANSYS 19,


      the mesh quality as the following:


      mesh Quality:


       


      Minimum Orthogonal Quality = 4.55661e-01 cell 1198876 on zone 2 (ID: 1198877 on partition: 0) at location (-1.92211e+00 4.59320e-01 9.80769e-03)


      (To improve Orthogonal quality , use "Inverse Orthogonal Quality" in Fluent Meshing,


      where Inverse Orthogonal Quality = 1 - Orthogonal Quality)


       


      Maximum Aspect Ratio = 1.40133e+02 cell 1845 on zone 2 (ID: 1846 on partition: 0) at location (-2.32400e+00 9.13900e-01 5.00192e-01)

    • Walaa
      Subscriber

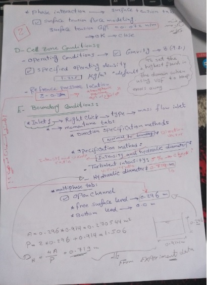
      I am simulating an open channel junction where a branch channel drains in a main one, there are the steps i follow;

    • Walaa
      Subscriber

    • Walaa
      Subscriber

    • Walaa
      Subscriber

    • Walaa
      Subscriber

    • Walaa
      Subscriber

    • Walaa
      Subscriber

       


      and this is my geometry


    • Walaa
      Subscriber

      this all my mesh details


    • Walaa
      Subscriber

    • Walaa
      Subscriber

    • Rob
      Forum Moderator

      Thanks, looks like you've thought this through properly. Doing this for all models while you're learning is a really good idea, including once you've left University. 


      I assume you have 10-15 cells through the depth of water, and some refinement around the free surface. 


      Check that you've got enough space above the water level to account for ripples etc.  Setting turbulence intensity at 5% may be a bit high, typically 2-3% is suitable for most flow rates.


      I would also suggest reducing the timescale factor by a couple of orders of magnitude, or trying a transient solution. 


      Finally, how have you initialised the solution? 

    • Walaa
      Subscriber

      Thanks rwoolhou, I will try your suggestion.


      I initialized it as the following;



       

    • Rob
      Forum Moderator

      Looks about right. Plot some contours of water level on the side walls & channel centre lines to see what the initialisation process gives: ie is it sensible. 


       

    • DrAmine
      Ansys Employee

      Can you post a pic straight after initialization and tell us how you defined all the inflow and outflow bcs (all 3)?

    • Walaa
      Subscriber

      mmm, I don't know how

    • Karthik Remella
      Administrator

      Hello,


      You could plot contours of volume fraction showing walls to highlight the level of liquid along the walls.


      You can also create a clip plane (z - plane) in the middle (along the axis of your pipe) and plot the volume fraction contours on this plane. This will highlight the level of liquid at the center if the pipe.


      About the BCs, maybe share screenshots of your boundary condition panels?


      I hope this helps.


      Best Regards,


      Karthik

    • Walaa
      Subscriber

      It happens again, this time i set the following;


      volume of fraction cutoff = 0


      volume of fraction coaurant number = .25


      time scale factor =2


      and my geometry height in z direction is .5, the water height is .0296, and i set reference pressure location = .425


    • Walaa
      Subscriber

      the calculation stopped after 1200 iterations, 


    • Karthik Remella
      Administrator

      Hello,


      It is possible that there might be an issue with your problem formulation. Please share screenshots of your boundary condition set-up in Fluent?


      I'd strongly recommend that you create monitors and assess your simulations. Perhaps, one of them might explain your floating point error.


      You might also want to share your initial set-up case file here. Someone who is not an ANSYS employee might have a look and tell you why you are seeing this issue.


      I hope this helps.


      Best Regards,


      Karthik

Viewing 24 reply threads
  • The topic ‘Problem during calculation’ is closed to new replies.
[bingo_chatbox]