TAGGED: ansys-fluent, ansys-staff, les, non-newtonian
-
-
October 9, 2021 at 11:40 am
AA09
SubscriberHello,
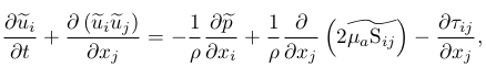
I have a question about large eddy simulation (LES) when using one of the available models in Fluent for shear-dependent viscosity, μ_a. Is the software solving the following grid-filtered (~) momentum equation?
October 11, 2021 at 5:22 pmSurya Deb
Ansys EmployeeHello,
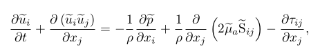
It uses somethin similar to the second form. Please check this link for additional details [https://ansyshelp.ansys.com/account/secured?returnurl=/Views/Secured/corp/v212/en/flu_th/flu_th_sec_turb_les_filt_ns_eq.html?q=LES%20equations]
Regards SD
October 12, 2021 at 8:51 amAA09
SubscriberDear SD Thank you for the reply. I saw the documentation but the given equation seems to correspond to constant viscosity (Newtonian fluid) since only the strain-rate tensor is being filtered.
Do you know which grid-filtered momentum equation is solved for a fluid with shear-dependent viscosity?
Best regards Arturo.
October 12, 2021 at 9:42 pmSurya Deb
Ansys EmployeeHello,
Shear Dependent non-Newtonian viscosity model is compatible with Laminar viscous model only.
You will see that the Power law, Herschel-bulkley, etc. models under viscosity are turned on only for Laminar Viscous model.
Regards SD
October 13, 2021 at 12:32 pmAA09
SubscriberHello SD Once again thank you for replying to my post.
I checked the Fluent User's Guide and it does seem possible to do turbulence modeling for shear-dependent viscosity (https://ansyshelp.ansys.com/account/secured?returnurl=/Views/Secured/corp/v212/en/flu_ug/x1-106100013.14.19.html) although the guide also remarks what you mentioned in the section for temperature dependent viscosity (https://ansyshelp.ansys.com/account/secured?returnurl=/Views/Secured/corp/v212/en/flu_ug/flu_ug_sec_viscosity_non_newtonian.html).
Nonetheless, let's say that instead of using the in-built models, we incorporate the shear-dependent viscosity with a user-defined function (https://ansyshelp.ansys.com/account/secured?returnurl=/Views/Secured/corp/v212/en/flu_udf/flu_udf_ChapIntroduction.html). In that case, which grid-filtered momentum equation would be solved for the fluid with shear-dependent viscosity?
Best regards Arturo.
October 18, 2021 at 2:17 pmRob
Forum ModeratorThe value you add into Fluent's material property for viscosity is the laminar viscosity. The turbulence models then do "stuff" to that to give the turbulent viscosity. I suspect that whatever the UDF puts into the cell (laminar viscosity) is then acted on by the turbulence model. Hence why we allow you to switch nonNewtonian and turbulence on with a low Re correction via the TUI. The two models were made mutually exclusive in v6.0 after we tested some combinations that didn't make (physical) sense: yes, I was learning then too.
October 19, 2021 at 1:11 pmAA09
SubscriberDear Rob Thank you for the reply. If I understood correctly, in your opinion, the filtering operation (probably) takes place once a model for the dynamic viscosity has been introduced. Does that mean the following form is been solved?

Thank you in advance for the follow-up to my original question.
Best regards Arturo.
October 19, 2021 at 3:52 pmRob
Forum ModeratorPass - is much better with the squiggles than me!
October 20, 2021 at 6:18 amDrAmine
Ansys EmployeeLet me look and read the whole thread.
October 20, 2021 at 8:47 amDrAmine
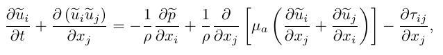
Ansys EmployeeFluent does not take any additional precautions when dealing with shear dependence of molecular viscosity. It uses the same formulation as for constant molecular viscosity. Mathematically might be wrong but sincerely the molecular viscosity is small and it would not really matter for typical applications. For cases with very high molecular viscosity things are different and it requires some precautions.
Additional comment: Do not use low-Re terms in k-omega: omega based models do already operate well for Low-Re regimes ( viscous sublayer) and they do not require any extra treatment!
October 20, 2021 at 9:17 amOctober 20, 2021 at 9:22 amDrAmine
Ansys EmployeeYes.
October 20, 2021 at 9:57 amDrAmine
Ansys EmployeeYes
Viewing 12 reply threads- The topic ‘LES modelling of non-Newtonian fluid flow’ is closed to new replies.
Innovation SpaceTrending discussionsTop Contributors-
5874
-
1906
-
1420
-
1306
-
1021
Top Rated Tags© 2026 Copyright ANSYS, Inc. All rights reserved.
Ansys does not support the usage of unauthorized Ansys software. Please visit www.ansys.com to obtain an official distribution.
-
The Ansys Learning Forum is a public forum. You are prohibited from providing (i) information that is confidential to You, your employer, or any third party, (ii) Personal Data or individually identifiable health information, (iii) any information that is U.S. Government Classified, Controlled Unclassified Information, International Traffic in Arms Regulators (ITAR) or Export Administration Regulators (EAR) controlled or otherwise have been determined by the United States Government or by a foreign government to require protection against unauthorized disclosure for reasons of national security, or (iv) topics or information restricted by the People's Republic of China data protection and privacy laws.

