-
-
June 13, 2019 at 10:46 am
hassam
Subscriber Hi
I am trying to simulate an interference fit between two cylinders with an interference fit. There is significant difference in results which i am getting, Following is the dataÂ
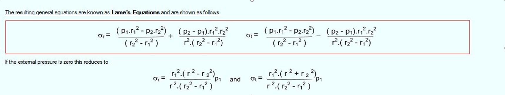
The interference pressure is calculated using the following equation
which for an interference of 0.085 mm comes out to be 308.11 MPa.
I have simulated the exact same scenario on anys using a 2D axisymmetric model. The model and its description is given below
According to ansys the normal pressure at the joint comes out to 409 MPa. Can somebody explain me this 100 MPa difference. I will highly appreciate your response.
-
June 13, 2019 at 12:12 pm
peteroznewman
SubscriberThe inputs in the spreadsheet show a zero internal pressure. For a zero internal pressure, the radial (normal) stress on the inner wall should be zero, but in your model, the normal X stress is -989 MPa at the inner wall of the inner pipe.  I see the BC screen shot shows the internal pressure is 0 but the stress result implies a pressure of 989 MPa.Â
This is the Plane Strain solution.
-
June 13, 2019 at 12:57 pm
hassam
SubscriberThanks Peter for pointing out the mistake. I accidentally resolved it for the 1000 MPa internal pressure, Here are the new results with 0 internal pressure.
As you can see see still internal pressure is not 0 but 4.9177 MPa and the interference pressure is 350 MPa. Is it an acceptable solution instead of theoretical value of 309 MPa. Is this an acceptable error?. What can i do to improve in the model to get more accurate results. Thanks in advance

-
June 13, 2019 at 3:43 pm
peteroznewman
SubscriberThe equation you show is for identical materials.Â
Here is the equation for two materials with different Elastic properties.
The model I have above had a small amount of penetration in the contact of about 0.002 mm. When I added a penetration tolerance of 1e-6, it converged with practically zero penetration and the stress went up to 352 MPa, so it seems these two models agree on the interface pressure.
See what theoretical value you get when you use the correct equation with different material, and, see what your ANSYS model gives when you solve after making the two cylinders have the same material.
-
June 13, 2019 at 6:15 pm
hassam
SubscriberThanks Peter for the insight. The equation i have used was for two different materials and answer is the same also using the equation you provided, The difference in results in our model and theoretical output is 350-309 = 41 MPa.
It would be great if you could share the following information
How to check the contact penetration?
Â
This is the result i am getting after reducing the mesh size.
Thank you for your response.
Â
Â
-
June 13, 2019 at 8:33 pm
peteroznewman
SubscriberTo check the penetration of a frictional or frictionless contact, add a Contact Tool to the Solution branch, then Insert a Penetration result.
I agree that the two material equation also calculates 308 MPa for the interface pressure.
In the other discussion, I found that I got near perfect agreement with the equation when I used a Plane Stress solution, while the Plane Strain solution did not agree with the equation as closely. Here is my model set to Plane Stress and of course the result matches nearly perfectly with the equations.
-
June 14, 2019 at 10:12 am
hassam
SubscriberThe results look promising. Thank you for the solution Peter. I am working on a 2D axisymmetric model and to shift to Plane stress solution would require a complete redesign of the model as you can see in the picture below
If possible can you please attach the model that you have created for this problem so i can look at the structure and results. Thanks in advance.
Â
-
June 14, 2019 at 10:25 am
peteroznewman
SubscriberIf you have no more questions, please mark my post above with Is Solution to show this discussion is Solved.
-
- The topic ‘Interference fit pressure’ is closed to new replies.
-
6144
-
1906
-
1442
-
1308
-
1022
© 2026 Copyright ANSYS, Inc. All rights reserved.











