-
-
February 19, 2020 at 10:52 am
hamzaDZ13
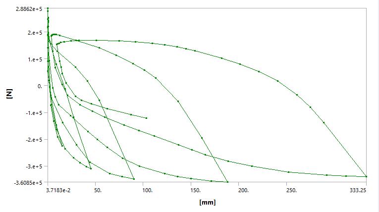
SubscriberGood morning guys , on a steel frame subjected to a linear increasing load applied as a cyclic loading i applied the loading protocol shown below to get the force -displacement diagram shown on the curve down , i used a tabular data but the results doesn't match with the disered ones . any help here ! is it the correct methode using and do i have to use some commands to get a correct curve ?Â
thanks in advance .Â
Â
-
February 19, 2020 at 12:20 pm
peteroznewman
SubscriberDid you use Directional Deformation? That goes positive and negative.
Because Total Deformation is always positive.
-
February 19, 2020 at 3:23 pm
hamzaDZ13
Subscriberyes i used the directional deformation it's gives postive and negative values as shown above but not as the disered curve .
-
February 19, 2020 at 7:56 pm
peteroznewman
SubscriberI don't see any negative values in the X axis of your plot.
-
February 19, 2020 at 10:47 pm
hamzaDZ13
Subscriberyes exactly there is no negative values on the X axis , the displacements given on the X direction at the top of the higher comumn , so wht you think i did missing or what's your suggestions to make it correct ? do i need to specify a deformation of a point from the frame not all of it ?Â
-
February 20, 2020 at 1:36 am
peteroznewman
SubscriberIn the first image, I see you have applied +/- displacement to an edge on the top right corner of the structure.
Where is the Directional Deformation scoped to?
-
February 20, 2020 at 11:02 am
-
February 21, 2020 at 6:57 am
saifali
SubscriberCan you send the file?
-
February 21, 2020 at 10:41 pm
hamzaDZ13
Subscriberhow to send the ansys mechanical files here , there is just images option ?Â
-
February 22, 2020 at 12:47 am
-
February 23, 2020 at 11:27 am
hamzaDZ13
Subscriberhere i zip it on google drive , i don't know if that will help you to open it there ?Â
Â
-
- The topic ‘How to get a correct force displacement diagram in workbench ?’ is closed to new replies.
-
6029
-
1906
-
1425
-
1308
-
1021
© 2026 Copyright ANSYS, Inc. All rights reserved.




