-
-
February 9, 2023 at 10:36 am
Govind Mishra
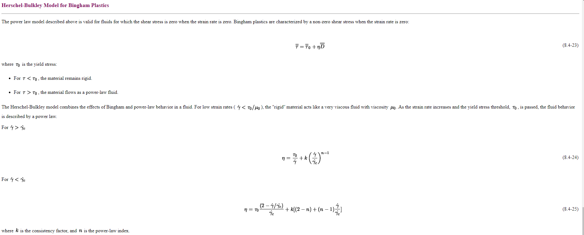
SubscriberIn Ansys fluent, the goerning equation for the Herschel-Bulkley model is quite different as compared to what we learnt in the fluid mechanics ? What can i interpret from the equation used in the Ansys Fluent ?
What is critical shear rate used in that equation ? -
February 9, 2023 at 11:56 am
-
February 10, 2023 at 5:28 pm
-
February 10, 2023 at 5:46 pm
Rob
Forum ModeratorBy plotting data? The model used in Fluent is the model defined in the manual, if you'd rather calculate from scratch there are Expressions and UDFs to do this.Â
-
Viewing 3 reply threads
- The topic ‘Herschel-Bulkley model’ is closed to new replies.
Innovation Space
Trending discussions
Top Contributors
-
5889
-
1906
-
1420
-
1306
-
1021
Top Rated Tags
© 2026 Copyright ANSYS, Inc. All rights reserved.
Ansys does not support the usage of unauthorized Ansys software. Please visit www.ansys.com to obtain an official distribution.


