TAGGED: Discovery Live, fluids
-
-
June 6, 2019 at 2:57 pm
marc-antoine.lafay
SubscriberHello.
Â
By default Discovery Live assumes:
 - Velocity Inlet at Inlet
 - Pressure Outlet at Outlet
Â
but how to define:
 - Pressure Inlet et Inlet
 - Flowrate at Outlet
Â
Thanks!
Â
MAL
-
June 6, 2019 at 4:02 pm
Brian Bueno
Ansys EmployeeMarc-Antoine Lafay
Inlet pressure is one of the available boundary conditions. As for the flow, there is a requirement in Discovery Live that a flow direction must always point into the fluid volume. This would prevent a flow rate from being defined at the outlet.
I would recommend defining an outlet pressure of 0 and setting up a calculator to measure the flow rate on the outlet face.
-
June 13, 2019 at 9:40 am
marc-antoine.lafay
SubscriberYou mean I have to determine a pressure inlet such that I will find the expected flow rate with an outlet pressure of 0 Pa?
The problem is that the flow is driven by a fan which is theorically placed at the outlet.
I am not sure that the flow will be the same between a system with a flow rate at inlet and an other one with a flow at outlet.
-
June 13, 2019 at 7:59 pm
Brian Bueno
Ansys EmployeeMarc-Antoine LafayÂ
No, the outlet pressure is typically set to 0 Pa when an inlet boundary condition is defined to drive the simulation. The challenge here is that your known quantity is only an outlet flow condition, and Live has some limitations in assigning those.
It would be best to know something about the flow at the inlet.Â
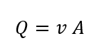
For a closed fluid volume, we should be able to calculate the inlet velocity using the flow rate at the outlet.
If the volumetric flow rate is calculated as:
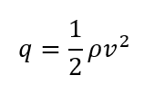
we can divide that quantity by the area of the inlet to find the velocity.
You could then calculate the dynamic pressure at the outlet and perhaps apply this as a negative pressure to simulate the fan. Calculate the velocity based on the volumetric flow rate using the equation above, then use the following equation to find the dynamic pressure:
Â
-
-
- The topic ‘Flowrate at outlet?’ is closed to new replies.
-
6019
-
1906
-
1425
-
1308
-
1021
© 2026 Copyright ANSYS, Inc. All rights reserved.

