-
-
January 11, 2022 at 5:47 pm
OROI
SubscriberHi
If i want to simulate mechanical behavior of flexible conductors or droppers when force is applied to it, what is proper way to do that? is there some tutorial or example how to make it.
January 16, 2022 at 1:21 pmOROI
SubscriberHi
Should i make new material which contains cable stiffness and mass according to cable manufacturer and use CABLE280 element? I started to make some example model to learn how to use that CABLE280 element.
I made this kind of "dropper cable " model which has 32mm diameter elements.

I added some APDL commands, but i think i need to add something in to it. Maybe someone can quide me a bit with this?

January 19, 2022 at 12:58 amSheldon Imaoka
Ansys Employee
In your "Commands (APDL)" object, you want to use "MATID" instead of "1" - in this example, you only have 1 part, so it will have an element type ID of "1", but using "MATID" parameter is better in case, in the future, you have multiple parts.
For cables, you will probably want to have more than 1 Step defined. The first Step is to define preloads, such as gravity, as a 'cable' element is intended to model a line element that has no bending stiffness - the bending stiffness arises from axial loads in the cable due to stress-stiffening effects. If your cable has no axial loads that generate a preload, it may be better to use beam elements, as otherwise, you'll have a lot of numerical instability (think of a rope just being whipped around by a force).
After you define the preloads (such as gravity or other axial loads), then you can apply your Force in Step 2. However, looking at your geometry, your cable may be slack and not have any preloads, so it may be better to approximate it with beams first, as beams do have some bending stiffness.
Regards Sheldon
January 19, 2022 at 4:54 pmOROI
SubscriberHi
So you mean "ET,MATID,CABLE280" ,is better? No need to add anything else in APDL commands?
Cable minimun bending stiffness is 28000 N/mm2 and maximum bending stiffness is 57000 N/mm2 if it is made by aluminium. If steel core ACSR then minmum 46000 N/mm2 and max 63000 N/mm2. Should i use minimum or maximun stiffness value in engineering data? What about other parameters in engineering data if make new material, what are minimum parameters for this kind of case?
January 20, 2022 at 1:00 amSheldon Imaoka
Ansys Employee
If you use a cable element, you still need the APDL commands like SECTYPE to define the LINK cross-section. However, since your 'cable' does have non-zero bending stiffness, it may be better to model as a beam. While you can input the beam cross-section and materials to have the program calculate the bending stiffness, you can use a User Integrated cross-section, for example, to put your own values. (This is a cross-section, not a material property.) This provides better stability than a cable element, which has no bending stiffness.
If you have a range of values, you need to determine if you want to use the min (or max) values or a nominal value. For example, if you wanted to check a 'worst case' scenario, you would use conservative values to get a conservative result.
Regards Sheldon
January 27, 2022 at 9:33 pmOROI
SubscriberHi
I made this kind of basic beam model, which is tested in real life laboratory and i have some test results, but problem is there is very little information about mechanical structure. My question is that, is it possible to make model that there is 40 Hz oscillation at that measuring point if there is only that last post insulator and ACSR cable, because there is no mechanical information about that rigid section? There is some kind of mechanical decoupling and i think it is there for isolating that rigid section, but not sure.

Laboratory results shows that the measuring point frequency is about 40 Hz.


I did not get that high frequency at measuring point so that's why i'm asking is it even possible with this kind of model. First modal is about 6 Hz. Force is applied to cable beam only.


January 27, 2022 at 9:37 pmOROI
SubscriberHi
I made this kind of model, which is tested in real life laboratory and i have some test results, but problem is there is very little information about mechanical structure. My Question is that, is it possible to make model that there is 40 Hz oscillation at that measuring point if there is only that last post insulator and ACSR cable, because there is no mechanical information about that rigid section? There is some kind of mechanical decoupling and i think it is there for isolating that rigid section, but not sure.

Laboratory results shows that the measuring point frequency is about 40 Hz.


I did not get that high frequency at measuring point so thats why i'm asking is even possible with this kind of model. First modal i

February 2, 2022 at 12:50 amSheldon Imaoka
Ansys Employee
I apologize, but I don't quite understand your last post(s).
If the rigid busbar is not moving, are you representing it as a boundary condition? This should be appropriate if the cable is connected to the rigid busbar, and the busbar is immobile.
I don't quite understand what can or cannot move, but if there are parts that can move but you don't know the actual stiffness, for example, you could change the properties of the stiffness of the unknown values to see what would give you a 40 Hz response. Likewise, tweaking the beam properties could also help you change the frequency to what you want. I'm guessing here that you want to tweak the simulation model to match experimental/measured response? I don't know what "stiffness at cable fixation point" represents, but a range of values (2.1e6- 2.5e6 N/m) is given, implying that some tweaking could be done to see if your simulation results match the experimental results better.
Regards Sheldon
February 3, 2022 at 9:10 pmOROI
SubscriberHi
I made this kind of model, which is tested in real life laboratory and i have some test results, but problem is there is very little information about mechanical structure. My Question is that, is it possible to make model that there is 40 Hz oscillation at that measuring point if there is only last post insulator and ACSR cable?

Laboratory results shows that the measuring point frequency is about 40 Hz.


February 3, 2022 at 9:26 pmOROI
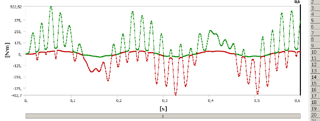
SubscriberYes, i try to make my model to match experimental response. I tried tweak parameters but, in Y direction i don't get it like report results. X direction is close . I think that mechanical decoupling conducts some force to Y direction and that could be one of the reasons why i don't get it right. Also that cable what i modeled is kind of already bended shape so there is no tension, that could be another reason for result mismatch.I don't know how i should model the cable that there istension caused by bend.
X direction result:

Y direction result

Viewing 9 reply threads- The topic ‘Flexible conductor’ is closed to new replies.
Innovation SpaceTrending discussionsTop Contributors-
6269
-
1906
-
1457
-
1308
-
1022
Top Rated Tags© 2026 Copyright ANSYS, Inc. All rights reserved.
Ansys does not support the usage of unauthorized Ansys software. Please visit www.ansys.com to obtain an official distribution.
-
The Ansys Learning Forum is a public forum. You are prohibited from providing (i) information that is confidential to You, your employer, or any third party, (ii) Personal Data or individually identifiable health information, (iii) any information that is U.S. Government Classified, Controlled Unclassified Information, International Traffic in Arms Regulators (ITAR) or Export Administration Regulators (EAR) controlled or otherwise have been determined by the United States Government or by a foreign government to require protection against unauthorized disclosure for reasons of national security, or (iv) topics or information restricted by the People's Republic of China data protection and privacy laws.
