TAGGED: FDE
-
-
April 12, 2025 at 11:30 am
-
May 7, 2025 at 5:25 am
zhang.chen
Subscriber您好,给到您如下建议。
1.图三代码中neff(i,4)-neff(i,3)可能选择了错误的模式对(如高阶模式而非奇/偶基模)。请通过FDE模式分析功能,手动检查场分布。奇模(反对称场)和偶模(对称场)应通过电场相位分布判断。
2.耦合长度公式应为:Lc = λ / (2πΔn_eff),代码中Lc(i)=wavelength/2/abs(neff(i,4)-neff(i,3))漏掉π系数
3.非对称耦合器的模式分离可能需要更高网格精度或更大仿真区域(尤其横向尺寸)。增加横向仿真区域至波导宽度的5倍以上,并启用完美匹配层(PML)边界条件。-
May 7, 2025 at 8:45 am
1722148415
Subscriber非常感谢您的帮助!对我有很大启发
我按照您的建议做了如下尝试:
1.对于对称定向耦合器,Lc与gap的关系曲线与论文中保持一致,中间是用于计算Lc的偶模与奇模的电场Ey的实部
对于非对称定向耦合器,由于两个波导的宽度不同,无法出现像对称波导那样完全对称的模式分布,下图中的电场图的2和3在宽波导中的模式是对称的,窄波导中均为TE0模式,请问这样的情况是否可以认为是一对对称模呢?
若改变窄波导的宽度,得到如下结果,下图的电场图中的1和2是否可以认为是一对反对称模呢?
论文中对于非对称平行波导中模式的描述是这样的,这样的话有效折射率是要与基模求和或差进行计算,还是通过FDE进行扫描呢?
2.增加仿真区域在x方向的尺寸在一定程度上有效,但如果继续增加会导致gap较大时曲线的波动
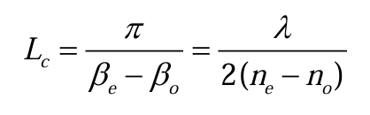
3.我再次查阅了相关论文及资料,临界耦合长度的计算公式与上文中一致,没有漏掉Π系数,论文中的公式如下:
感谢您的解答!
-
-
Viewing 1 reply thread
- You must be logged in to reply to this topic.
Innovation Space
Trending discussions
Top Contributors
-
6430
-
1906
-
1457
-
1308
-
1022
Top Rated Tags
© 2026 Copyright ANSYS, Inc. All rights reserved.
Ansys does not support the usage of unauthorized Ansys software. Please visit www.ansys.com to obtain an official distribution.








