-
-
April 16, 2019 at 6:27 am
Punit2019
SubscriberHello,
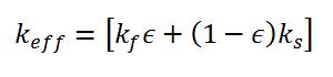
FLUENT uses a default formula, as follows, for calculating the effective thermal conductivity (Keff) of a porous medium, after the user enters the K values for the solid and fluid mediums (Ks and Kf respectively) and the value of porosity (Epsilon):
But this is actually the maximum effective thermal conductivity obtainable for the given inputs. The actual Keff must lie below the value obtained from the above formula. This is why I need to customize the formula using the same inputs.Â
Is there a way to overwrite the default formula?
Can I use a custom field function for this purpose?
Any help would be appreciated.
Â
Cheers.
-
April 16, 2019 at 10:54 am
Rob
Forum ModeratorThere are a couple of options in the non-equilibrium approach, otherwise you'll need to adjust porosity itself to fudge the result. That can be altered via a UDF or (potentially) an expression depending on how complex the position v k_eff relationship is.Â
-
- The topic ‘Effective Thermal Conductivity in Porous Medium’ is closed to new replies.
-
5879
-
1906
-
1420
-
1306
-
1021
© 2026 Copyright ANSYS, Inc. All rights reserved.
