Fluids

Fluids

Topics related to Fluent, CFX, Turbogrid and more.

Beginner modeling micromixing

    • adrienbruder
      Subscriber

      Hi, I am a fairly new user of Fluent. I am still training on the free limited version to model a micromixing in a T shaped reactor. My mesh is as follows: 


      Mesh


      I checked the aspect ratio, skewness, orthogonal quality and they all seem to be within an acceptable range. 


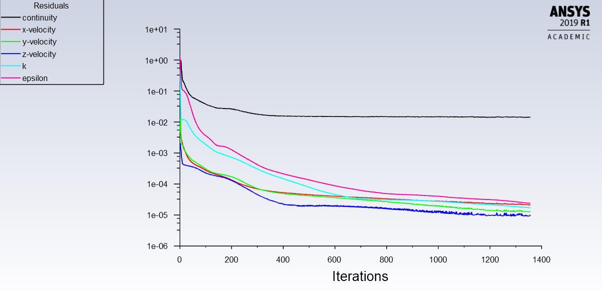
      I then ran a k-e Realizable model with enhanced wall treatment and kept most parameters stayed by default. I implemented a second order upwind for the spatial discretization. After approximately 1000 iterations the residuals are constant. The velocities, turbulent energy dissipation etc.. seem to have logical values.


      Velocity


      However, the continuity residual is not dropping below 1.10^-2. What could be the reason ? 



      Like I said I am still learning so it might be a stupid oversight on my part. Thanks in advance for your help.

    • Rob
      Forum Moderator

      I think you need to review the jumps in cell size between the cell zones, but the result looks valid. It's explained in this paper https://www.sciencedirect.com/science/article/pii/S0263876215004992#fig0055  (probably) Figure 1 looks to explain most of it. 

    • adrienbruder
      Subscriber

      Thanks for the read and the advice!


      Have a good weekend.

Viewing 2 reply threads
  • The topic ‘Beginner modeling micromixing’ is closed to new replies.