-
-
April 4, 2022 at 6:57 am
zthere
Subscriber老师您好~想跟您咨询一下
下图是从频域监视器中得到的微环谐振腔的E,不太理解其右边的最大值 3.73 的含义。是指谐振腔在谐振波长的场强峰值与光源电场强度比值吗?为什么与理论上的腔内谐振场强增强值偏差非常大(上百倍)呢?
谢谢老师!!
April 4, 2022 at 2:40 pmGuilin Sun
Ansys Employee是指谐振腔在谐振波长的场强峰值E与光源电场强度E的比值。
“为什么与理论上的腔内谐振场强增强值偏差非常大(上百倍)呢?”
这个原因可多了,比如,什么理论?是场增强还是场的强度?你这个场强增强是怎么定义的?是平方还是4次方?
另外,仿真监视器的这个波长是多少?如果器件完全一样,那么你应该根据透射率反射率曲线找这个谐振波长而不是用理论波长,这是因为FDTD有数值色散,仿真的谐振波长与理论上的谐振波长有差异。你只需要找到接近理论的谐振波长查看就可以。
April 5, 2022 at 2:00 amzthere
Subscriber感谢您的回复!
理论是通过仿真得到透射系数再用该系数计算谐振环内光强倍增因子。上图频域监视器的波长,是通过仿真得到的波导的直通端透射谱的谐振波长。
目前多个不同尺寸的环谐振腔仿真结果均显示谐振时环内场增强均比较弱(其他仿真模型通过频域监视器得到的环内场强峰值与光源电场强度Eo的比值均在1左右),增大环尺寸有略微提升(如初始提问中的3.73)。
关于该值“是指谐振腔在谐振波长的场强峰值E与光源电场强度E的比值”,这个比值跟我FDTD的仿真光源是 脉冲光 / 连续光 有关系吗?我通过movie监视器看到的默认的FDTD仿真光源应该是脉冲光?会是这个原因导致仿真得到的这个值很小吗?
再次谢谢您百忙之中抽空解惑!
April 5, 2022 at 2:50 pmGuilin Sun
Ansys Employee光强倍增因子的定义一致没有给出啊?如果是利用仿真的结果在推导的公式,很可能理论存在缺陷,因为仿真直接求解的是麦克斯韦方程,不可能出现较大的误差。
“是指谐振腔在谐振波长的场强峰值E与光源电场强度E的比值”是指指频域结果比较,与时间域无关。
我认为你说的比值是在频域,不会是指时间域吧?时间域是多波长宽谱的结果,我没有看到有什么理论给出宽谱的光强倍增因子。April 6, 2022 at 1:54 amApril 6, 2022 at 3:07 pmGuilin Sun
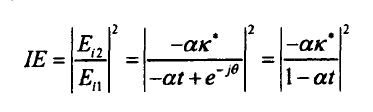
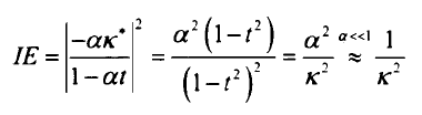
Ansys Employee可以带入。问题是你提取的α,t和κ 要正确。不能像文献或者理论一样假设什么。
这种结构要求耦合部分细网格,你改变网格尺寸结果可能有改变,你试一下。
计算κ,t, 它们是一次耦合和透射的系数还是无限次的?
如果是一次的,要提取这些数据,你可能需要修改仿真结构,参见
https://support.lumerical.com/hc/en-us/articles/360042323794
https://scholar.rose-hulman.edu/cgi/viewcontent.cgi?article=1003&context=dept_optics
仅仿真耦合部分
α可以根据弯曲波导的损耗来估计;https://support.lumerical.com/hc/en-us/articles/360042800453April 7, 2022 at 2:01 amzthere
Subscriber谢谢您的回复!我会对模型重新调整测试系数。
另外,首次提问中的环谐振腔内的 E 的峰值 3.73 是比较可信的值对吗?
April 7, 2022 at 8:25 amzthere
Subscriber即 3.73 可以作为光强倍增因子(IE)?April 7, 2022 at 2:28 pmGuilin Sun
Ansys Employee基本可信。当然,随着网格尺寸的变化,这个值可能有点波动,但不会差别太大。空间点上场总会随着网格尺寸有点变化,因为网格尺寸有限。不过,3.72 与3.73不会影响什么结果。April 8, 2022 at 1:00 amzthere
Subscriber谢谢老师回答!
Viewing 9 reply threads- The topic ‘谐振腔内频域监视器的电场值更具体的含义是什么?’ is closed to new replies.
Innovation SpaceTrending discussionsTop Contributors-
6520
-
1906
-
1463
-
1311
-
1022
Top Rated Tags© 2026 Copyright ANSYS, Inc. All rights reserved.
Ansys does not support the usage of unauthorized Ansys software. Please visit www.ansys.com to obtain an official distribution.
-
The Ansys Learning Forum is a public forum. You are prohibited from providing (i) information that is confidential to You, your employer, or any third party, (ii) Personal Data or individually identifiable health information, (iii) any information that is U.S. Government Classified, Controlled Unclassified Information, International Traffic in Arms Regulators (ITAR) or Export Administration Regulators (EAR) controlled or otherwise have been determined by the United States Government or by a foreign government to require protection against unauthorized disclosure for reasons of national security, or (iv) topics or information restricted by the People's Republic of China data protection and privacy laws.


