TAGGED: ansys-fluent, fluent-convergence, residual-graph, steady-state
-
-
April 12, 2022 at 1:19 pm
usama_1424
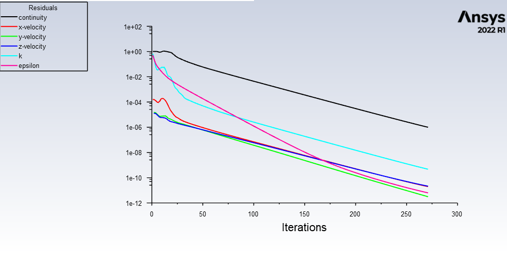
SubscriberHi there,
I am new to CFD modeling and have been using Ansys for the past week. I am trying to build a 3D single phase steady-state model of my open channel flume. Everything works well and when I run the simulation, I get the following residual plot.
April 12, 2022 at 1:48 pmRob
Forum ModeratorHave a look in the solver theory to understand how that works. The residuals are an indicator of the level of error in the solver: the smaller the value the better. Go through some of the courses too /courses/index.php/fluids
In your case, default convergence is 1e-3 for most residuals, so 1-6 is probably overkill. We also use monitors to assist in judging convergence, these are covered in some of the tutorials (click on Help to access these and the documentation).
April 12, 2022 at 2:34 pmusama_1424
SubscriberThanks for replying. Just a quick question. Is there anyway we can continue simulations until specified iterations in run calculation parameters have reached despite the convergence achieved or not?
April 13, 2022 at 10:17 amRob
Forum ModeratorYes. In the Monitors-Residual click on "Advanced" and set the Convergence Criterion to "None". We still monitor (display) the residuals but the solver will run until the set iterations are completed. I often do this for steady runs where I'm about to leave for the night/weekend as I don't want the solver to stop 10-15 minutes after I've gone.

April 13, 2022 at 10:32 amusama_1424
SubscriberThanks a lot.
Viewing 4 reply threads- The topic ‘Understanding Convergence of Solution’ is closed to new replies.
Innovation SpaceTrending discussions- air flow in and out of computer case
- Varying Bond model parameters to mimic soil particle cohesion/stiction
- Eroded Mass due to Erosion of Soil Particles by Fluids
- I am doing a corona simulation. But particles are not spreading.
- Centrifugal Fan Analysis for Determination of Characteristic Curve
- Guidance needed for Conjugate Heat Transfer Analysis for a 3s3p Li-ion Battery
- Issue to compile a UDF in ANSYS Fluent
- JACOBI Convergence Issue in ANSYS AQWA
- affinity not set
- Resuming SAG Mill Simulation with New Particle Batch in Rocky
Top Contributors-
4167
-
1487
-
1338
-
1188
-
1021
Top Rated Tags© 2025 Copyright ANSYS, Inc. All rights reserved.
Ansys does not support the usage of unauthorized Ansys software. Please visit www.ansys.com to obtain an official distribution.
-
The Ansys Learning Forum is a public forum. You are prohibited from providing (i) information that is confidential to You, your employer, or any third party, (ii) Personal Data or individually identifiable health information, (iii) any information that is U.S. Government Classified, Controlled Unclassified Information, International Traffic in Arms Regulators (ITAR) or Export Administration Regulators (EAR) controlled or otherwise have been determined by the United States Government or by a foreign government to require protection against unauthorized disclosure for reasons of national security, or (iv) topics or information restricted by the People's Republic of China data protection and privacy laws.
